Câu hỏi: Cho hàm số bậc ba $y=f\left( x \right)$. Hàm số $g\left( x \right)=f\left( x+2 \right)$ có bảng biến thiên như bên dưới.
Tổng tất cả các giá trị nguyên của tham số $m$ để tập nghiệm của phương trình $\sqrt{4+m{{x}^{2}}}.f\left[ f\left( x \right)-m \right]=0$ có $5$ phần tử bằng
A. $0$.
B. $-3$.
C. $-1$.
D. $2$.
Tổng tất cả các giá trị nguyên của tham số $m$ để tập nghiệm của phương trình $\sqrt{4+m{{x}^{2}}}.f\left[ f\left( x \right)-m \right]=0$ có $5$ phần tử bằng
A. $0$.
B. $-3$.
C. $-1$.
D. $2$.
Từ gt tìm được $f\left( x \right)=-{{x}^{3}}+3{{x}^{2}}-2$ có BBT
Phương trình $\sqrt{4+m{{x}^{2}}}.f\left( f\left( x \right)-m \right)=0 (*)$, Đk $:4+m{{x}^{2}}\ge 0$
$(*)\Leftrightarrow \left[ \begin{aligned}
& 4+m{{x}^{2}}=0\text{ }(1) \\
& \left\{ \begin{aligned}
& 4+m{{x}^{2}}>0 \\
& f\left( f\left( x \right)-m \right)=0 \\
\end{aligned} \right.(2) \\
\end{aligned} \right.$
TH1:
TH2:
Yêu cầu bài toán
$\begin{aligned}
& \left\{ \begin{aligned}
& 1+m>2 \\
& -2<1-\sqrt{3}+m<2 \\
\end{aligned} \right.\Leftrightarrow \left\{ \begin{aligned}
& m>1 \\
& -3+\sqrt{3}<m<1+\sqrt{3} \\
\end{aligned} \right. \\
& \Rightarrow 1<m<1+\sqrt{3}\Rightarrow m=2 \\
\end{aligned}$
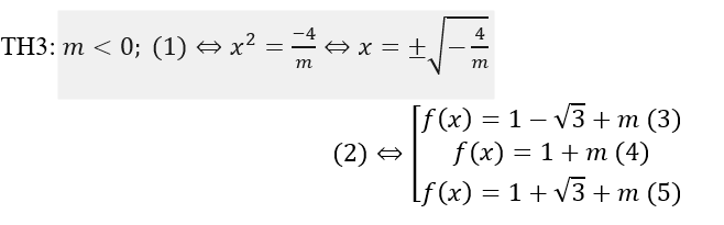
$\text{k}:4+m{{x}^{2}}>0\Leftrightarrow {{x}^{2}}>\dfrac{-4}{m}\Leftrightarrow x\in \left( \dfrac{-2}{\sqrt{-m}};\dfrac{2}{\sqrt{-m}} \right)$ $$
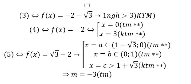
+) $m=-3$
+) $m=-2$
+) $m=-1$
Vậy $m=2$ hoặc $m=-3$, nên tổng các giá trị của $m$ bằng -1, chọn đáp án $\text{C}$.
Phương trình $\sqrt{4+m{{x}^{2}}}.f\left( f\left( x \right)-m \right)=0 (*)$, Đk $:4+m{{x}^{2}}\ge 0$
$(*)\Leftrightarrow \left[ \begin{aligned}
& 4+m{{x}^{2}}=0\text{ }(1) \\
& \left\{ \begin{aligned}
& 4+m{{x}^{2}}>0 \\
& f\left( f\left( x \right)-m \right)=0 \\
\end{aligned} \right.(2) \\
\end{aligned} \right.$
TH1:
TH2:
Yêu cầu bài toán
$\begin{aligned}
& \left\{ \begin{aligned}
& 1+m>2 \\
& -2<1-\sqrt{3}+m<2 \\
\end{aligned} \right.\Leftrightarrow \left\{ \begin{aligned}
& m>1 \\
& -3+\sqrt{3}<m<1+\sqrt{3} \\
\end{aligned} \right. \\
& \Rightarrow 1<m<1+\sqrt{3}\Rightarrow m=2 \\
\end{aligned}$
$\text{k}:4+m{{x}^{2}}>0\Leftrightarrow {{x}^{2}}>\dfrac{-4}{m}\Leftrightarrow x\in \left( \dfrac{-2}{\sqrt{-m}};\dfrac{2}{\sqrt{-m}} \right)$ $$
+) $m=-3$
+) $m=-2$
+) $m=-1$
Vậy $m=2$ hoặc $m=-3$, nên tổng các giá trị của $m$ bằng -1, chọn đáp án $\text{C}$.
Đáp án C.
