Câu hỏi: Hợp chất E chỉ chứa chức este. Khi cho 1,36 gam E tác dụng vừa đủ với 100 ml dung dịch NaOH 0,2M thì thu được dung dịch X. Biết khối lượng mol của E nhỏ hơn 200. Số công thức cấu tạo phù hợp với E là
A. 5.
B. 6.
C. 3.
D. 4.
A. 5.
B. 6.
C. 3.
D. 4.
Phương pháp:
Xét các trường hợp:
- Nếu ${{\text{n}}_{\text{E}}}:{{\text{n}}_{\text{NaOH}}}=1:1$
- Nếu ${{\text{n}}_{\text{E}}}:{{\text{n}}_{\text{NaOH}}}=1:2$
Hướng dẫn giải:
nNaOH = 0,02 mol
- Nếu ${{\text{n}}_{\text{E}}}:{{\text{n}}_{\text{NaOH}}}=1:1\to {{\text{n}}_{\text{E}}}=0,02\text{mol}\to {{\text{M}}_{\text{E}}}=1,36/0,02=68$ (không có este nào thỏa mãn)
- Nếu ${{\text{n}}_{\text{E}}}:{{\text{n}}_{\text{NaOH}}}=1:2\to {{\text{n}}_{\text{E}}}=0,01\text{mol}\to {{\text{M}}_{\text{E}}}=1,36/0,01=136$
+ Nếu E là este hai chức: không có đồng phân nào thỏa mãn
+ Nếu E là este của phenol: C8H8O2
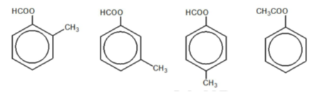
Các đồng phân este của phenol có CTPT C8H8O2 là:
→ 4 đồng phân
Xét các trường hợp:
- Nếu ${{\text{n}}_{\text{E}}}:{{\text{n}}_{\text{NaOH}}}=1:1$
- Nếu ${{\text{n}}_{\text{E}}}:{{\text{n}}_{\text{NaOH}}}=1:2$
Hướng dẫn giải:
nNaOH = 0,02 mol
- Nếu ${{\text{n}}_{\text{E}}}:{{\text{n}}_{\text{NaOH}}}=1:1\to {{\text{n}}_{\text{E}}}=0,02\text{mol}\to {{\text{M}}_{\text{E}}}=1,36/0,02=68$ (không có este nào thỏa mãn)
- Nếu ${{\text{n}}_{\text{E}}}:{{\text{n}}_{\text{NaOH}}}=1:2\to {{\text{n}}_{\text{E}}}=0,01\text{mol}\to {{\text{M}}_{\text{E}}}=1,36/0,01=136$
+ Nếu E là este hai chức: không có đồng phân nào thỏa mãn
+ Nếu E là este của phenol: C8H8O2
Các đồng phân este của phenol có CTPT C8H8O2 là:
→ 4 đồng phân
Đáp án D.