T

Cho hàm số $f\left( x \right)$ có đạo hàm ${f}'\left( x...

Câu hỏi: Cho hàm số $f\left( x \right)$ có đạo hàm ${f}'\left( x \right)=\left( {{x}^{2}}-1 \right)\left( x-4 \right)$ với mọi $x\in \mathbb{R}$. Hàm số $g\left( x \right)=f\left( -x \right)$ có bao nhiêu điểm cực đại?
A. $3$.
B. $4$.
C. $1$.
D. $2$.
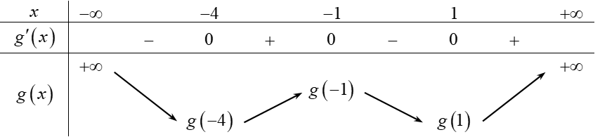
Ta có ${g}'\left( x \right)=-{f}'\left( -x \right)=-\left( {{x}^{2}}-1 \right)\left( -x-4 \right)$.
Khi đó ${g}'\left( x \right)=0\Leftrightarrow -\left( {{x}^{2}}-1 \right)\left( -x-4 \right)=0\Leftrightarrow \left[ \begin{aligned}
& x=1 \\
& x=-1 \\
& x=-4 \\
\end{aligned} \right.$.
Bảng biến thiên
image2.png
Hàm số $g\left( x \right)=f\left( -x \right)$ có 1 điểm cực đại.
Đáp án C.
 

Quảng cáo

Back
Top