Câu hỏi: Cho 37,2 gam chất hữu cơ X (có công thức phân tử là C4H10N4O6) tác dụng vừa đủ với 600 ml dung dịch KOH 1M tạo thành nước, 1 chất hữu cơ đa chức bậc I và m gam hỗn hợp muối vô cơ. Giá trị m gần nhất với
A. 47,81.
B. 60,59.
C. 41,42.
D. 33,62.
A. 47,81.
B. 60,59.
C. 41,42.
D. 33,62.
Phương pháp:
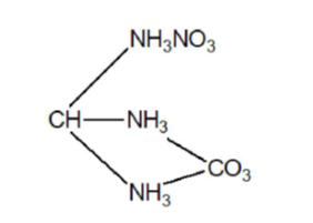
Tính được tỉ lệ nx : nKOH= 1: 3 và dựa vào CTPT C4H10N2O6 → công thức cấu tạo thỏa mãn của X là:
- Tính khối lượng các muối vô cơ theo PTHH: $\text{X}+3\text{KOH}\to \text{CH}{{\left( \text{N}{{\text{H}}_{2}} \right)}_{3}}+\text{KN}{{\text{O}}_{3}}+{{\text{K}}_{2}}\text{C}{{\text{O}}_{3}}+3{{\text{H}}_{2}}\text{O}$
Hướng dẫn giải:
nX = 37,2/186 = 0,2 mol
nKOH = 0,6 mol
Vì ${{\text{n}}_{\text{X}}}:{{\text{n}}_{\text{KOH}}}=1:3\to $ công thức cấu tạo thỏa mãn của X là:
PTHH: $\text{X}+3\text{KOH}\to \text{CH}{{\left( \text{N}{{\text{H}}_{2}} \right)}_{3}}+\text{KN}{{\text{O}}_{3}}+{{\text{K}}_{2}}\text{C}{{\text{O}}_{3}}+3{{\text{H}}_{2}}\text{O}$
0,2 0,6 → 0,2 → 0,2 (mol)
$\to \text{m}={{\text{m}}_{\text{KNO}3}}+{{\text{m}}_{\text{K}2\text{CO}3}}=0,2.101+0,2.138=47,8\text{gam}$
Tính được tỉ lệ nx : nKOH= 1: 3 và dựa vào CTPT C4H10N2O6 → công thức cấu tạo thỏa mãn của X là:
- Tính khối lượng các muối vô cơ theo PTHH: $\text{X}+3\text{KOH}\to \text{CH}{{\left( \text{N}{{\text{H}}_{2}} \right)}_{3}}+\text{KN}{{\text{O}}_{3}}+{{\text{K}}_{2}}\text{C}{{\text{O}}_{3}}+3{{\text{H}}_{2}}\text{O}$
Hướng dẫn giải:
nX = 37,2/186 = 0,2 mol
nKOH = 0,6 mol
Vì ${{\text{n}}_{\text{X}}}:{{\text{n}}_{\text{KOH}}}=1:3\to $ công thức cấu tạo thỏa mãn của X là:
PTHH: $\text{X}+3\text{KOH}\to \text{CH}{{\left( \text{N}{{\text{H}}_{2}} \right)}_{3}}+\text{KN}{{\text{O}}_{3}}+{{\text{K}}_{2}}\text{C}{{\text{O}}_{3}}+3{{\text{H}}_{2}}\text{O}$
0,2 0,6 → 0,2 → 0,2 (mol)
$\to \text{m}={{\text{m}}_{\text{KNO}3}}+{{\text{m}}_{\text{K}2\text{CO}3}}=0,2.101+0,2.138=47,8\text{gam}$
Đáp án A.