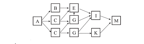
Câu hỏi: Xét một lưới thức ăn như sau:

Có bao nhiêu phát biểu sau đây đúng?
I. Chuỗi thức ăn dài nhất có 8 mắt xích.
II. Quan hệ giữa loài C và loài E là quan hệ cạnh tranh khác loài.
III. Loài G có thể là sinh vật tiêu thụ bậc 2 hoặc bậc 3.
IV. Nếu loài C bị tuyệt diệt thì loài D sẽ bị giảm số lượng cá thể.
A. 4
B. 3
C. 1
D. 2

Có bao nhiêu phát biểu sau đây đúng?
I. Chuỗi thức ăn dài nhất có 8 mắt xích.
II. Quan hệ giữa loài C và loài E là quan hệ cạnh tranh khác loài.
III. Loài G có thể là sinh vật tiêu thụ bậc 2 hoặc bậc 3.
IV. Nếu loài C bị tuyệt diệt thì loài D sẽ bị giảm số lượng cá thể.
A. 4
B. 3
C. 1
D. 2
I sai, chuỗi thức ăn dài nhất có 7 mắt xích: A → D →C → G → E → I →M
II sai, quan hệ giữa loài C và loài E là sinh vật này ăn sinh vật khác
III đúng.
Chuỗi A →C →G thì G là sinh vật tiêu thụ bậc 2
Chuỗi A →D →C→G, thì G là sinh vật tiêu thụ bậc 3
IV sai, nếu loài C bị tuyệt diệt thì loài D có cơ hội tăng số lượng vì loài D là thức ăn của loài C
Vậy có 2 kết luận đúng
II sai, quan hệ giữa loài C và loài E là sinh vật này ăn sinh vật khác
III đúng.
Chuỗi A →C →G thì G là sinh vật tiêu thụ bậc 2
Chuỗi A →D →C→G, thì G là sinh vật tiêu thụ bậc 3
IV sai, nếu loài C bị tuyệt diệt thì loài D có cơ hội tăng số lượng vì loài D là thức ăn của loài C
Vậy có 2 kết luận đúng
Đáp án C.