T

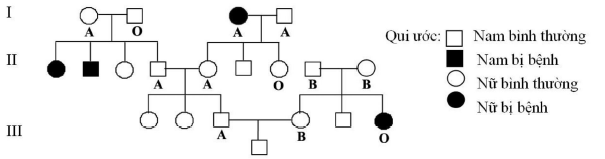
Sơ đồ phả hệ mô tả sự di truyền của một bệnh ở người do một trong...

Câu hỏi: Sơ đồ phả hệ mô tả sự di truyền của một bệnh ở người do một trong hai alen của một gen quy định. Một gen khác gồm 3 alen quy định nhóm máu ABO nằm ở một nhóm gen liên kết khác.Biết rằng không xảy ra đột biến ở tất cả các cá thể trong phả hệ.
image2.png
Xác suất để đứa con trai do cặp vợ chồng ở thế hệ III sinh ra mang gen bệnh và có kiểu gen dị hợp về nhóm máu là bao nhiêu?
A. 6/25
B. 13/30
C. 4/75
D. 27/200
- Ở thế hệ thứ I, từ trái sang phải lần lượt là: ${{I}_{1}},{{\text{I}}_{2}},{{\text{I}}_{3}},{{\text{I}}_{4}}.$
- Ở thế hệ thứ II, từ trái sang phải lần lượt là: $\text{I}{{\text{I}}_{1}},\text{I}{{\text{I}}_{2}},\text{I}{{\text{I}}_{3}},\text{I}{{\text{I}}_{4}},\text{I}{{\text{I}}_{5}},\text{I}{{\text{I}}_{6}},\text{I}{{\text{I}}_{7}},\text{I}{{\text{I}}_{8}},\text{I}{{\text{I}}_{9}}$
- Ở thế hệ thứ III, từ trái sang phải lần lượt là: $\text{II}{{\text{I}}_{1}},\text{II}{{\text{I}}_{2}},\text{II}{{\text{I}}_{3}},\text{II}{{\text{I}}_{4}},\text{II}{{\text{I}}_{5}},\text{II}{{\text{I}}_{6}}.$
image5.png

1. Quy ước gen:
- Trong phả hệ, bố mẹ I1​ và I2​ không bị bệnh sinh con gái II1​ → tính trạng bệnh là do gen lặn nằm trên nhiễm sắc thể thường.
- Quy ước:
+ A- không bị bệnh, a bị bệnh.
$+{{\text{I}}^{\text{A}}}{{\text{I}}^{\text{A}}},{{\text{I}}^{\text{A}}}{{\text{I}}^{\text{O}}}$ : máu A; ${{\text{I}}^{\text{B}}}{{\text{I}}^{\text{B}}},{{\text{I}}^{\text{B}}}{{\text{I}}^{\text{O}}}:$ máu B; ${{\text{I}}^{\text{A}}}{{\text{I}}^{\text{B}}}:$ máu AB; ${{\text{I}}^{O}}{{\text{I}}^{\text{O}}}$ : máu O.
2. Xác định kiểu gen có thể có của chồng III3​ và vợ III4​:
A. Bên phía người chồng III3​:
* Xét tính trạng bệnh:
$\begin{array}{*{35}{l}}
-I{{I}_{1}}:aa\to {{I}_{1}}:\text{ Aa }\times {{I}_{2}}:Aa\to I{{I}_{4}}:1/3AA:2/3\text{ Aa}\text{. } \\
-{{I}_{3}}:aa\to I{{I}_{5}}:\text{ Aa}\text{. } \\
-I{{I}_{4}}:(1/3AA:2/3\text{ Aa })\times I{{I}_{5}}:Aa\to II{{I}_{3}}:(2/5AA;3/5Aa) \\
\end{array}$
* Xét tính trạng nhóm máu:
$\begin{array}{*{35}{l}}
-{{\text{I}}_{2}}:{{\text{I}}^{\text{O}}}{{\text{I}}^{\text{O}}}\to \text{I}{{\text{I}}_{4}}:{{\text{I}}^{\text{A}}}{{\text{I}}^{\text{O}}} \\
-{{\text{I}}_{7:}}{{\text{I}}^{\text{O}}}{{\text{I}}^{\text{O}}}\to {{\text{I}}_{3}}:{{\text{I}}^{\text{A}}}{{\text{I}}^{\text{O}}}\times {{\text{I}}_{4}}:{{\text{I}}^{\text{A}}}{{\text{I}}^{\text{O}}}\to \text{I}{{\text{I}}_{5}}:\left( 1/3{{\text{I}}^{\text{A}}}{{\text{I}}^{\text{A}}}:2/3{{\text{I}}^{\text{A}}}{{\text{I}}^{\text{O}}} \right) \\
-\text{I}{{\text{I}}_{4}}:{{\text{I}}^{\text{A}}}{{\text{I}}^{\text{O}}}\times \text{I}{{\text{I}}_{5}}:\left( 1/3{{\text{I}}^{\text{A}}}{{\text{I}}^{\text{A}}}:2/3{{\text{I}}^{\text{A}}}{{\text{I}}^{\text{O}}} \right)\to \text{II}{{\text{I}}_{3}}:\left( 2/5{{\text{I}}^{\text{A}}}{{\text{I}}^{\text{A}}}\cdot 3/5{{\text{I}}^{\text{A}}} \right)\cdot \\
\end{array}$
→ Người chồng III3​:
$(2/5\text{AA}:3/5\text{Aa})\left( 2/5{{\text{I}}^{\text{A}}}{{\text{I}}^{\text{A}}}\cdot 3/5{{\text{I}}^{\text{A}}}{{\text{I}}^{\text{O}}} \right)$
B. Bên phía người vợ III4​:
* Xét tính trạng bệnh: III6​: $\text{ aa }\to \text{I}{{\text{I}}_{8}}:\text{Aa }\times \text{I}{{\text{I}}_{9}}:\text{Aa}\to \text{II}{{\text{I}}_{4}}:(1/3\text{AA}:2/3\text{Aa})$
* Xét tính trạng nhóm máu: $\text{II}{{\text{I}}_{6}}:{{\text{I}}^{\text{O}}}{{\text{I}}^{\text{O}}}\to \text{I}{{\text{I}}_{8}}:{{\text{I}}^{\text{B}}}{{\text{I}}^{\text{O}}}\times \text{II}9:{{\text{I}}^{\text{B}}}{{\text{I}}^{\text{O}}}\to \text{II}{{\text{I}}_{4}}:\left( 1/3{{\text{I}}^{\text{B}}}{{\text{I}}^{\text{B}}}\cdot 2/3{{\text{I}}^{\text{B}}}{{\text{I}}^{\text{O}}} \right)\cdot \to $ Người vợ III4​: $(1/3\text{AA}:2/3\text{Aa})\left( 1/3{{\text{I}}^{\text{B}}}{{\text{I}}^{\text{B}}}:2/3{{\text{I}}^{\text{B}}}{{\text{I}}^{\text{O}}} \right)$
C. Tính xác suất người con trai của vợ chồng III3​ và III4​
- Người chồng $\text{II}{{\text{I}}_{3}}:(2/5\text{AA}:3/5\text{Aa})\left( 2/5{{\text{I}}^{\text{A}}}{{\text{I}}^{\text{A}}}\cdot 3/5{{\text{I}}^{\text{A}}}{{\text{I}}^{O}} \right)$
- Người vợ $\text{II}{{\text{I}}_{4}}:(1/3\text{AA}:2/3\text{Aa})\left( 1/3{{\text{I}}^{\text{B}}}{{\text{I}}^{\text{B}}}:2/3{{\text{I}}^{\text{B}}}{{\text{I}}^{\text{O}}} \right)$
* Xét tính trạng bệnh: $\text{II}{{\text{I}}_{3}}:(2/5\text{AA}:3/5\text{Aa})\times \text{II}{{\text{I}}_{4}}:(1/3\text{AA}:2/3\text{Aa})\to $ Người con trai bình thường của cặp vợ chồng III3​ và III4​ có thể có kiểu gen với tỉ lệ: 14/27AA:13/27Aa. → Người con trai vợ chồng III3​ và III4​ mang gen bệnh (Aa) với tỉ lệ 13/27.
* Xét tính trạng nhóm máu: $\text{II}{{\text{I}}_{3}}:\left( 2/5{{\text{I}}^{\text{A}}}{{\text{I}}^{\text{A}}}:3/5{{\text{I}}^{\text{A}}}{{\text{I}}^{\text{O}}} \right)\times \text{II}{{\text{I}}_{4}}:\left( 1/3{{\text{I}}^{\text{B}}}{{\text{I}}^{\text{B}}}:2/3{{\text{I}}^{\text{B}}}{{\text{I}}^{\text{O}}} \right)$
- Xác suất sinh con có kiểu gen dị hợp về nhóm máu $={{\text{I}}^{\text{A}}}{{\text{I}}^{\text{B}}}+{{\text{I}}^{\text{A}}}{{\text{I}}^{\text{O}}}+{{\text{I}}^{\text{B}}}{{\text{I}}^{\text{O}}}=1-{{\text{I}}^{\text{O}}}{{\text{I}}^{\text{O}}}=1-3/10\times 1/3=9/10\to $ XS để người con trai của cặp vợ chồng III3​ và III4​ mang gen bệnh và có kiểu gen dị hợp về nhóm máu = 13/27 $\times 9/10=13/30.$
Đáp án B.
 

Quảng cáo

Back
Top