leduong
Active Member
Bài toán
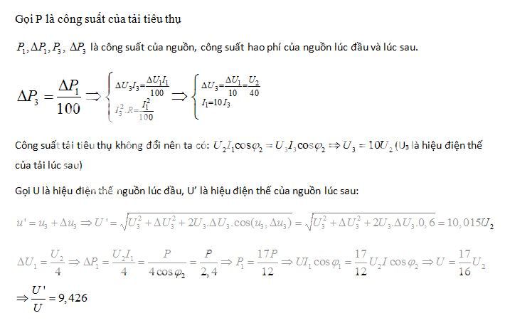
Mạch điện gồm tải $Z_{2}$ mắc nối tiếp với một điện trở $R$ rồi nới với một nguồn xoay chiều có điện áp hiệu dụng là $U_{1}$. Khi đó điện áp trên tải là $U_{2}$, và hệ số công suất $\cos \varphi _{2}=0,6$; độ giảm đện áp trên $R$ là $\Delta U=\dfrac{U_{2}}{4}$; hệ số công suất toàn mạch là $\cos \varphi _{1}=0,8$. Bằng cách điều chỉnh $Z_{2}$ và điện áp hiệu dụng nguồn, người ta làm cho công suất tiêu thụ trên $R$ giảm đi $100$ lần còn công suất $P_{2}$ và hệ số công suất $\cos \varphi _{2}$ không đổi. Khi đó điện áp hiệu dụng đầu nguồn phải tăng
A. $10$ lần
B. $9,426$ lần
C. $8$ lần
D. $8,273$ lần
Mạch điện gồm tải $Z_{2}$ mắc nối tiếp với một điện trở $R$ rồi nới với một nguồn xoay chiều có điện áp hiệu dụng là $U_{1}$. Khi đó điện áp trên tải là $U_{2}$, và hệ số công suất $\cos \varphi _{2}=0,6$; độ giảm đện áp trên $R$ là $\Delta U=\dfrac{U_{2}}{4}$; hệ số công suất toàn mạch là $\cos \varphi _{1}=0,8$. Bằng cách điều chỉnh $Z_{2}$ và điện áp hiệu dụng nguồn, người ta làm cho công suất tiêu thụ trên $R$ giảm đi $100$ lần còn công suất $P_{2}$ và hệ số công suất $\cos \varphi _{2}$ không đổi. Khi đó điện áp hiệu dụng đầu nguồn phải tăng
A. $10$ lần
B. $9,426$ lần
C. $8$ lần
D. $8,273$ lần
Lần chỉnh sửa cuối bởi 1 quản trị viên:
