hoankuty
Ngố Design
Bài toán
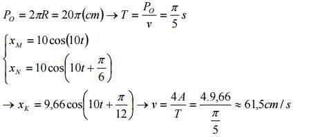
Cho hai chất điểm $M,N$ chuyển động tròn đều cùng chiều trên một đường tròn tâm $O$ bán kính $R=10cm$ với cùng tốc độ dài $v=1 \ \left(\text{m}/\text{s}\right)$. Biết góc $MON$ có số đo bằng $30^{0}$. Gọi $K$ là trung điểm đoạn $MN$. Hình chiếu của $K$ xuống một đường kính đường tròn có tốc độ trung bình trong một chu kì bằng :
A. $30,8 \ \left(\text{cm}/\text{s}\right)$
B. $80,6 \ \left(\text{cm}/\text{s}\right)$
C. $61,5 \ \left(\text{cm}/\text{s}\right)$
D. $100 \ \left(\text{cm}/\text{s}\right)$
Cho hai chất điểm $M,N$ chuyển động tròn đều cùng chiều trên một đường tròn tâm $O$ bán kính $R=10cm$ với cùng tốc độ dài $v=1 \ \left(\text{m}/\text{s}\right)$. Biết góc $MON$ có số đo bằng $30^{0}$. Gọi $K$ là trung điểm đoạn $MN$. Hình chiếu của $K$ xuống một đường kính đường tròn có tốc độ trung bình trong một chu kì bằng :
A. $30,8 \ \left(\text{cm}/\text{s}\right)$
B. $80,6 \ \left(\text{cm}/\text{s}\right)$
C. $61,5 \ \left(\text{cm}/\text{s}\right)$
D. $100 \ \left(\text{cm}/\text{s}\right)$
