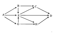
Câu hỏi: Giả sử một quần xã có lưới thức ăn gồm 7 loài được kí hiệu là: A, B, C, D, E, G, H. Trong đó loài A là sinh vật sản xuất, các loài còn lại là sinh vật tiêu thụ.

Theo lí thuyết, có bao nhiêu phát biểu sau đây đúng khi nói về lưới thức ăn này?
I. Chuỗi thức ăn dài nhất có 5 bậc dinh dưỡng.
II. Có tổng số 11 chuỗi thức ăn.
III. Nếu loại bỏ bớt cá thể của loài D thì tất cả các loài còn lại đều giảm số lượng cá thể.
IV. Nếu loài C bị nhiễm độc ở nồng độ thấp thì loài A sẽ bị nhiễm độc ở nồng độ cao hơn so với loài C.
A. 1.
B. 2.
C. 4.
D. 3.

Theo lí thuyết, có bao nhiêu phát biểu sau đây đúng khi nói về lưới thức ăn này?
I. Chuỗi thức ăn dài nhất có 5 bậc dinh dưỡng.
II. Có tổng số 11 chuỗi thức ăn.
III. Nếu loại bỏ bớt cá thể của loài D thì tất cả các loài còn lại đều giảm số lượng cá thể.
IV. Nếu loài C bị nhiễm độc ở nồng độ thấp thì loài A sẽ bị nhiễm độc ở nồng độ cao hơn so với loài C.
A. 1.
B. 2.
C. 4.
D. 3.
Có 3 phát biểu đúng là các phát biểu II, III, IV.
I đúng. Chuỗi thức ăn dài nhất có 5 bậc dinh dưỡng là các chuỗi:
A B E C DA G E C D
A B E H DA G E H D
II đúng. Ngoài 4 chuỗi thức ăn như ở phần I, còn có 7 chuỗi:
A B E D A E H D
A E C D A E D
A G H D A G E D
A B C D
III sai. Loại bỏ D thì tất cả các loài còn lại đều có xu hướng tăng số lượng cá thể.
IV sai. Nếu loài C bị nhiễm độc ở nồng độ thấp thì loài D sẽ bị nhiễm độc ở nồng độ cao hơn so với loài C. Loài A sẽ không bị nhiễm độc.
I đúng. Chuỗi thức ăn dài nhất có 5 bậc dinh dưỡng là các chuỗi:
A B E C DA G E C D
A B E H DA G E H D
II đúng. Ngoài 4 chuỗi thức ăn như ở phần I, còn có 7 chuỗi:
A B E D A E H D
A E C D A E D
A G H D A G E D
A B C D
III sai. Loại bỏ D thì tất cả các loài còn lại đều có xu hướng tăng số lượng cá thể.
IV sai. Nếu loài C bị nhiễm độc ở nồng độ thấp thì loài D sẽ bị nhiễm độc ở nồng độ cao hơn so với loài C. Loài A sẽ không bị nhiễm độc.
Đáp án D.