T

Giả sử lưới thức ăn trong một hệ sinh thái gồm các loài sinh vật...

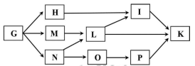
Câu hỏi: Giả sử lưới thức ăn trong một hệ sinh thái gồm các loài sinh vật G, H, I, K, L, M, N, O, P, được mô tả bằng sơ đồ ở hình bên. Cho biết loại G là sinh vật sản xuất và các loài còn lại đều là sinh vật tiêu thụ. Phân tích lưới thức ăn này, có bao nhiêu phát biểu sau đây đúng?
I. Loài H thuộc bậc dinh dưỡng cấp 2
II. Loài L tham gia vào 4 chuỗi thức ăn khác nhau
III. Loài I có thể là sinh vật tiêu thụ bậc 3 hoặc bậc 4
IV. Loài P thuộc nhiều bậc dinh dưỡng khác nhau.
image2.png
A. 1
B. 2
C. 3
D. 4
Loại H thuộc bậc dinh dưỡng cấp 2
Loại L tham gia vào 4 chuỗi thức ăn khác nhau
Loại I có thể là sinh vật tiêu thụ bậc 2 hoặc bậc 3
Loại P chỉ thuộc bật dinh dưỡng 4
Đáp án B.
 

Quảng cáo

Back
Top