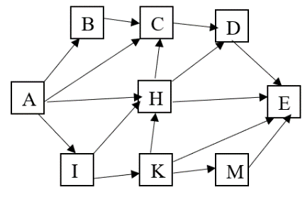
Câu hỏi: Giả sử lưới thức ăn sau đây gồm các loài sinh vật là A, B, C, D, E, H, I, K, M. Có bao nhiêu phát biểu sau đây đúng?
I. Lưới thức ăn này có tối đa 12 chuỗi thức ăn.
II. Chuỗi thức ăn dài nhất trong lưới này có 6 bậc dinh dưỡng.
III. Loài H thuộc bậc dinh dưỡng cấp 2 và cấp 3.
IV. Loài H tham gia vào 9 chuỗi thức ăn.
A. 1.
B. 2.
C. 3.
D. 4.
I. Lưới thức ăn này có tối đa 12 chuỗi thức ăn.
II. Chuỗi thức ăn dài nhất trong lưới này có 6 bậc dinh dưỡng.
III. Loài H thuộc bậc dinh dưỡng cấp 2 và cấp 3.
IV. Loài H tham gia vào 9 chuỗi thức ăn.
A. 1.
B. 2.
C. 3.
D. 4.
Có 1 đáp án đúng là IV.
- Lưới thức ăn trên có 13 chuỗi thức ăn I SAI.
- Chuỗi dài nhất là A - I - K - H - C - D - E có 7 bậc dinh dưỡng II SAI.
- Loài H thuộc cả bậc dinh dưỡng cấp 2, cấp 3 và cấp 4 III SAI.
- Loài H tham gia vào 9 chuỗi thức ăn IV ĐÚNG.
ĐÁP ÁN A.
- Lưới thức ăn trên có 13 chuỗi thức ăn I SAI.
- Chuỗi dài nhất là A - I - K - H - C - D - E có 7 bậc dinh dưỡng II SAI.
- Loài H thuộc cả bậc dinh dưỡng cấp 2, cấp 3 và cấp 4 III SAI.
- Loài H tham gia vào 9 chuỗi thức ăn IV ĐÚNG.
ĐÁP ÁN A.
Đáp án A.
