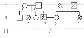
Câu hỏi: Cho sơ đồ phả hệ mô tả sự di truyền 2 bệnh ở người

Quy ước
Nam bình thường
Nam bị bệnh G
Nam bị bệnh H
Nữ bình thường
Nữ bị bệnh G
Nữ bị bệnh H
Biết rằng không xảy ra đột biến. Có bao nhiêu phát biểu sau đây đúng?
(1) Xác suất sinh con bình thường của cặp vợ chồng II-4 và II-5 là 41,67%.
(2) Có 6 người chắc chắn xác định được kiểu gen trong phả hệ trên.
(3) Người phụ nữ II-3 kết hôn với người bị mắc hai bệnh G và H, các con của họ có thể có tối đa 3 kiểu hình.
(4) Gen quy định bệnh G và H là gen trội nằm trên NST giới tính X không có alen tương ứng trên Y.
A. 2
B. 3
C. 4
D. 1

Quy ước
Biết rằng không xảy ra đột biến. Có bao nhiêu phát biểu sau đây đúng?
(1) Xác suất sinh con bình thường của cặp vợ chồng II-4 và II-5 là 41,67%.
(2) Có 6 người chắc chắn xác định được kiểu gen trong phả hệ trên.
(3) Người phụ nữ II-3 kết hôn với người bị mắc hai bệnh G và H, các con của họ có thể có tối đa 3 kiểu hình.
(4) Gen quy định bệnh G và H là gen trội nằm trên NST giới tính X không có alen tương ứng trên Y.
A. 2
B. 3
C. 4
D. 1
Bố mẹ của II- (2) có kiểu hình bình thường mà sinh ra II- (2) bị bệnh H → bệnh H là do gen lặn nằm trên NST thường quy định
Bố mẹ của II- (4) có kiểu hình bình thường mà sinh ra II- (4) bị bệnh G → bệnh G là do gen lặn quy định. Mặt khác, bố của II- (6) bình thường mà sinh ra con gái II- (6) bị bệnh G → bệnh G là nằm trên NST thường. → (4) sai
Quy ước:
A: bình thường >> a: bệnh H
B: bình thường >> b: bệnh G
Ta xác định kiểu gen của những người trong phả hệ như sau:
Vậy có 6 người chắc chắn xác định được kiểu gen trong phả hệ → (2) đúng
- Bệnh H: (1) (2): Aa Aa → 1AA:2Aa :laa → (4) có kiểu gen là: (1/3AA : 2/3Aa) hay (4) cho giao tử với tỉ lệ là (2/3A :1/3a)
(4) (5) : (2/3A :1/3a) (1/2A :1/2a) → (5/6A-:1/6aa)
- Bệnh G: (4) (5): bb Bb → 1/2Bb:1/2bb → Xác suất sinh con bình thường của cặp vợ chồng II- 4 và II- 5 là: 5/6A-.1/2Bb = 5/12 = 41,67% → (1) đúng
+ Người phụ nữ II-3 có kiểu gen về bệnh H là (1/3AA : 2/3Aa) hay (4) cho giao tử với tỉ lệ là (2/3A :1/3a) kết hôn với người mắc bệnh H ta có sơ đồ lai là: (2/3A :1/3a) 2Aa :laa
+ Người phụ nữ II-3 có kiểu gen về bệnh G là (1/3BB : 2/3Bb) hay (4) cho giao tử với tỉ lệ là (2/3B : 1/3b) kết hôn với người mắc bệnh H ta có sơ đồ lai như sau:
(2/3B:1/3b) 2Bb:1bb
Xét chung cả hai bệnh ta có: (2Aa : laa) (2Bb : 1bb) → đời con thu được số kiểu hình là: 2.2 = 4 kiểu hình (AaBb : Aabb : aaBb : aabb) → (3) sai
Vậy có 2 phát biểu đúng.
Bố mẹ của II- (4) có kiểu hình bình thường mà sinh ra II- (4) bị bệnh G → bệnh G là do gen lặn quy định. Mặt khác, bố của II- (6) bình thường mà sinh ra con gái II- (6) bị bệnh G → bệnh G là nằm trên NST thường. → (4) sai
Quy ước:
A: bình thường >> a: bệnh H
B: bình thường >> b: bệnh G
Ta xác định kiểu gen của những người trong phả hệ như sau:
Vậy có 6 người chắc chắn xác định được kiểu gen trong phả hệ → (2) đúng
- Bệnh H: (1) (2): Aa Aa → 1AA:2Aa :laa → (4) có kiểu gen là: (1/3AA : 2/3Aa) hay (4) cho giao tử với tỉ lệ là (2/3A :1/3a)
(4) (5) : (2/3A :1/3a) (1/2A :1/2a) → (5/6A-:1/6aa)
- Bệnh G: (4) (5): bb Bb → 1/2Bb:1/2bb → Xác suất sinh con bình thường của cặp vợ chồng II- 4 và II- 5 là: 5/6A-.1/2Bb = 5/12 = 41,67% → (1) đúng
+ Người phụ nữ II-3 có kiểu gen về bệnh H là (1/3AA : 2/3Aa) hay (4) cho giao tử với tỉ lệ là (2/3A :1/3a) kết hôn với người mắc bệnh H ta có sơ đồ lai là: (2/3A :1/3a) 2Aa :laa
+ Người phụ nữ II-3 có kiểu gen về bệnh G là (1/3BB : 2/3Bb) hay (4) cho giao tử với tỉ lệ là (2/3B : 1/3b) kết hôn với người mắc bệnh H ta có sơ đồ lai như sau:
(2/3B:1/3b) 2Bb:1bb
Xét chung cả hai bệnh ta có: (2Aa : laa) (2Bb : 1bb) → đời con thu được số kiểu hình là: 2.2 = 4 kiểu hình (AaBb : Aabb : aaBb : aabb) → (3) sai
Vậy có 2 phát biểu đúng.
Đáp án A.