The Collectors

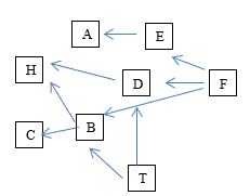
Xét một lưới thức ăn được mô tả như hình bên. Theo lí thuyết, có...

Câu hỏi: Xét một lưới thức ăn được mô tả như hình bên. Theo lí thuyết, có bao nhiêu phát biểu sau đây đúng ?
image2.png
I. Loài T có thể là một loài động vật không xương sống
II. Lưới thức ăn này có 7 chuỗi thức ăn
III. Nếu loài A giảm số lượng thì loài B sẽ giảm số lượng
IV. Nếu loài H giảm số lượng thì sẽ làm cho loài T giảm số lượng
A. 4
B. 3
C. 2
D. 1
I đúng vì có 2 loại chuỗi thức ăn, trong đó có 1 loại chuỗi được bắt đầu bằng động vật ăn mùn hữu cơ
II đúng
III đúng vì A giảm số lượng thì E sẽ tăng số lượng. F giảm số lượng thì B sẽ giảm số lượng
IV đúng. Vì H giảm số lượng thì B sẽ tăng nên sẽ làm cho T giảm
Đáp án A.
 

Quảng cáo

Back
Top