Bài toán
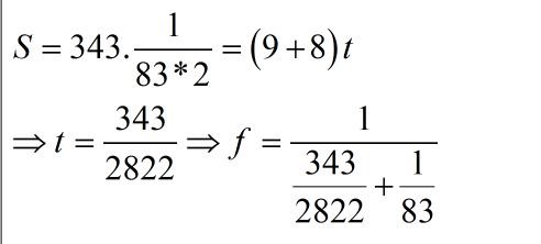
Các con dơi bay và tìm mồi bằng cách phát và sau đó thu nhận các phản xạ của sóng siêu âm. Giả sử 1 con dơi bay đến gần 1 con bướm với tốc độ $9 m/s$ (so với Trái Đất), con bướm bay đến gần con dơi với tốc độ $8 m/s$ (so với Trái Đất). Từ lỗ mũi con dơi phát ra sóng có tần số f để sau khi gặp con bướm sóng phản xạ trở lại và con dơi nhận được có tần số $83 Hz$. Tốc độ truyền âm trong không khí $343 m/s$. Giá trị của $f$ là
A. $79 kHz$
B. $75 kHz$
C. $85 kHz$
D. $72 kHz$
Các con dơi bay và tìm mồi bằng cách phát và sau đó thu nhận các phản xạ của sóng siêu âm. Giả sử 1 con dơi bay đến gần 1 con bướm với tốc độ $9 m/s$ (so với Trái Đất), con bướm bay đến gần con dơi với tốc độ $8 m/s$ (so với Trái Đất). Từ lỗ mũi con dơi phát ra sóng có tần số f để sau khi gặp con bướm sóng phản xạ trở lại và con dơi nhận được có tần số $83 Hz$. Tốc độ truyền âm trong không khí $343 m/s$. Giá trị của $f$ là
A. $79 kHz$
B. $75 kHz$
C. $85 kHz$
D. $72 kHz$
B
