The Collectors

Sơ đồ dưới đây mô tả một lưới thức ăn bao gồm sinh vật sản xuất...

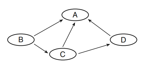
Câu hỏi: Sơ đồ dưới đây mô tả một lưới thức ăn bao gồm sinh vật sản xuất, sinh vật tiêu thụ và sinh vật phân giải.
image1.png
Trong đó A, B, C, D là tên các loài sinh vật có trong quần xã. Loài sinh vật nào phù hợp nhất cho sinh vật phân giải?
A. Loài B.
B. Loài C.
C. LoàiA.
D. Loài D.
Đáp án B.
Rất tiếc, câu hỏi này chưa có lời giải chi tiết. Bạn ơi, đăng nhập và giải chi tiết giúp zix.vn nhé!!!
 

Quảng cáo

Back
Top