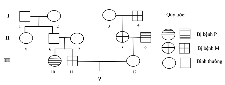
Câu hỏi: Phả hệ sau mô tả sự di truyền 2 bệnh: bệnh P do 1 trong 2 alen của gen quy định, bệnh M do gen lặn nằm trên vùng không tương đồng của NST giới tính X quy định.

Xác suất sinh con bình thường về cả 2 tính trạng của cặp vợ chồng số 11-12 là bao nhiêu?
A. 7/12
B. 5/24
C. 3/36.
D. 1/9.

Xác suất sinh con bình thường về cả 2 tính trạng của cặp vợ chồng số 11-12 là bao nhiêu?
A. 7/12
B. 5/24
C. 3/36.
D. 1/9.
(11) 1/3 AA + 2/3 Aa
(12) Aa
→ sinh con bình thường về bệnh P = 1-aa = 5/6
(11) XbY x (12) XBXb → sinh con bình thường về bệnh M = 1/4
Bình thường về cả 2 bệnh = 5/6 x 1/4 = 5/24
(12) Aa
→ sinh con bình thường về bệnh P = 1-aa = 5/6
(11) XbY x (12) XBXb → sinh con bình thường về bệnh M = 1/4
Bình thường về cả 2 bệnh = 5/6 x 1/4 = 5/24
Đáp án B.