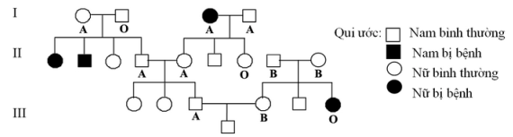
Câu hỏi: Phả hệ dưới đây mô tả sự di truyền của một bệnh ở người do một trong hai alen của một gen quy định. Một gen khác gồm 3 alen quy định nhóm máu ABO nằm ở một nhóm gen liên kết khác. Biết rằng không xảy ra đột biến mới ở tất cả các cá thể trong phả hệ.
Xác suất để đứa con trai do cặp vợ chồng ở thế hệ III sinh ra không mang gen bệnh và có kiểu gen dị hợp về
nhóm máu là bao nhiêu?
A. 4/75.
B. 7/15.
C. 27/200.
D. 13/30
Xác suất để đứa con trai do cặp vợ chồng ở thế hệ III sinh ra không mang gen bệnh và có kiểu gen dị hợp về
nhóm máu là bao nhiêu?
A. 4/75.
B. 7/15.
C. 27/200.
D. 13/30
Phương pháp:
Bước 1: Đánh số thứ tự những người trong phả hệ
Bước 2: Biện luận kiểu gen của cặp vợ chồng ở thế hệ III.
Xác định tỉ lệ giao tử.
Bước 3: Tính xác suất cần tìm.
Cách giải:
1 $\rightarrow$ Người vợ III4: $\left(\dfrac{1}{3} \mathrm{AA}: \dfrac{2}{3} \mathrm{Aa}\right)\left(\dfrac{1}{3} \mathrm{I}^{\mathrm{B}} \mathrm{I}^{\mathrm{B}}: \dfrac{2}{3} \mathrm{I}^{\mathrm{B}} \mathrm{I}^{\mathrm{O}}\right)$
Tính xác suất người con trai của vợ chồng $\mathrm{III}_3$ và $\text{II}{{\text{I}}_{4}}$
Cặp vợ chồng $\mathrm{III}_3 \times \mathrm{III}_4:\left(\dfrac{2}{5} \mathrm{AA}: \dfrac{3}{5} \mathrm{Aa}\right)\left(\dfrac{2}{5} \mathrm{I}^{\mathrm{A}} \mathrm{I}^{\mathrm{A}}: \dfrac{3}{5} \mathrm{I}^{\mathrm{A}} \mathrm{I}^{\mathrm{O}}\right) \times\left(\dfrac{1}{3} \mathrm{AA}: \dfrac{2}{3} \mathrm{Aa}\right)\left(\dfrac{1}{3} \mathrm{I}^{\mathrm{B}} \mathrm{I}^{\mathrm{B}}: \dfrac{2}{3} \mathrm{I}^{\mathrm{B}} \mathrm{I}^0\right)$
Tỉ lệ giao tử: $\left(\dfrac{7}{10} \mathrm{~A}: \dfrac{3}{10} \mathrm{a}\right)\left(\dfrac{7}{10} \mathrm{I}^{\mathrm{A}}: \dfrac{3}{10} \mathrm{I}^0\right) \times\left(\dfrac{2}{3} \mathrm{~A}: \dfrac{1}{3} \mathrm{a}\right)\left(\dfrac{2}{3} \mathrm{I}^{\mathrm{B}}: \dfrac{1}{3} \mathrm{I}^0\right)$
* Xét tính trạng bệnh: đời con: $\dfrac{14}{30} A A: \dfrac{13}{30} A a: \dfrac{3}{30} a a$
Người con trai bình thường của cặp vợ chồng $\mathrm{III}_3$ và $\mathrm{III}_4$ có thể có kiểu gen với tỉ lệ: $\dfrac{14}{30} \mathrm{AA}: \dfrac{13}{30} \mathrm{Aa} . \rightarrow$ Người con trai vợ chồng $\mathrm{III}_3$ và $\mathrm{III}_4$ mang gen bệnh (Aa) với tỉ lệ 13/27.
* Xét tính trạng nhóm máu:
Xác suất sinh con có kiểu gen dị hợp về nhóm máu: $1-{{I}^{O}}{{I}^{O}}=1-\dfrac{3}{10}{{I}^{O}}\times \dfrac{1}{3}{{I}^{O}}=\dfrac{9}{10}$
$\mathrm{XS}$ để người con trai của cặp vợ chồng $\mathrm{III}_3$ và $\mathrm{III}_4$ mang gen bệnh và có kiểu gen dị hợp về nhóm máu:
$\dfrac{13}{27} \times \dfrac{9}{10}=\dfrac{13}{30}$
Bước 1: Đánh số thứ tự những người trong phả hệ
Bước 2: Biện luận kiểu gen của cặp vợ chồng ở thế hệ III.
Xác định tỉ lệ giao tử.
Bước 3: Tính xác suất cần tìm.
Cách giải:
Tính xác suất người con trai của vợ chồng $\mathrm{III}_3$ và $\text{II}{{\text{I}}_{4}}$
Cặp vợ chồng $\mathrm{III}_3 \times \mathrm{III}_4:\left(\dfrac{2}{5} \mathrm{AA}: \dfrac{3}{5} \mathrm{Aa}\right)\left(\dfrac{2}{5} \mathrm{I}^{\mathrm{A}} \mathrm{I}^{\mathrm{A}}: \dfrac{3}{5} \mathrm{I}^{\mathrm{A}} \mathrm{I}^{\mathrm{O}}\right) \times\left(\dfrac{1}{3} \mathrm{AA}: \dfrac{2}{3} \mathrm{Aa}\right)\left(\dfrac{1}{3} \mathrm{I}^{\mathrm{B}} \mathrm{I}^{\mathrm{B}}: \dfrac{2}{3} \mathrm{I}^{\mathrm{B}} \mathrm{I}^0\right)$
Tỉ lệ giao tử: $\left(\dfrac{7}{10} \mathrm{~A}: \dfrac{3}{10} \mathrm{a}\right)\left(\dfrac{7}{10} \mathrm{I}^{\mathrm{A}}: \dfrac{3}{10} \mathrm{I}^0\right) \times\left(\dfrac{2}{3} \mathrm{~A}: \dfrac{1}{3} \mathrm{a}\right)\left(\dfrac{2}{3} \mathrm{I}^{\mathrm{B}}: \dfrac{1}{3} \mathrm{I}^0\right)$
* Xét tính trạng bệnh: đời con: $\dfrac{14}{30} A A: \dfrac{13}{30} A a: \dfrac{3}{30} a a$
Người con trai bình thường của cặp vợ chồng $\mathrm{III}_3$ và $\mathrm{III}_4$ có thể có kiểu gen với tỉ lệ: $\dfrac{14}{30} \mathrm{AA}: \dfrac{13}{30} \mathrm{Aa} . \rightarrow$ Người con trai vợ chồng $\mathrm{III}_3$ và $\mathrm{III}_4$ mang gen bệnh (Aa) với tỉ lệ 13/27.
* Xét tính trạng nhóm máu:
Xác suất sinh con có kiểu gen dị hợp về nhóm máu: $1-{{I}^{O}}{{I}^{O}}=1-\dfrac{3}{10}{{I}^{O}}\times \dfrac{1}{3}{{I}^{O}}=\dfrac{9}{10}$
$\mathrm{XS}$ để người con trai của cặp vợ chồng $\mathrm{III}_3$ và $\mathrm{III}_4$ mang gen bệnh và có kiểu gen dị hợp về nhóm máu:
$\dfrac{13}{27} \times \dfrac{9}{10}=\dfrac{13}{30}$
Đáp án D.
