Câu hỏi: Một máy phát điện xoay chiều một pha gồm phần ứng có 6000 vòng dây, phần cảm có 3 cặp cực và có tốc độ quay $\mathrm{n}$ thay đổi được. Từ thông cực đại qua mỗi vòng dây là $\dfrac{1}{3 \pi} \mathrm{mWb}$. Nối hai cực của máy với đoạn mạch gồm điện trở thuần $\mathrm{R}$, cuộn cảm thuần có độ tự cảm $0,8 \mathrm{H}$ và tụ điện mắc nối tiếp. Hình bên là đồ thị biểu diễn sự phụ thuộc của điện áp hiệu dụng giữa hai đầu điện trở thuần $U_R$ và giữa hai đầu tụ điện $U_C$ vào tốc độ quay n.
Biết $\mathrm{n}_1=1125$ vòng/phút và $\mathrm{n}_2=1300$ vòng/phút. Khi $\mathrm{n}=\mathrm{n}_1$ thì công suất tiêu thụ điện của mạch có giá trị gần nhất với giá trị nào sau đây?
A. 127 W.
B. $125 \mathrm{~W}$.
C. $129 \mathrm{~W}$.
D. $123 \mathrm{~W}$.
Biết $\mathrm{n}_1=1125$ vòng/phút và $\mathrm{n}_2=1300$ vòng/phút. Khi $\mathrm{n}=\mathrm{n}_1$ thì công suất tiêu thụ điện của mạch có giá trị gần nhất với giá trị nào sau đây?
A. 127 W.
B. $125 \mathrm{~W}$.
C. $129 \mathrm{~W}$.
D. $123 \mathrm{~W}$.
$
\begin{aligned}
& E=\dfrac{E_0}{\sqrt{2}}=\dfrac{1}{\sqrt{2}} N \phi_0 \omega=\dfrac{1}{\sqrt{2}} \cdot 6000 \cdot \dfrac{1}{3 \pi} \cdot 10^{-3} \cdot \omega=\dfrac{\sqrt{2}}{\pi} \omega \\
& \omega=2 \pi f=2 \pi n p \Rightarrow\left\{\begin{array}{l}
\omega_1=2 \pi \cdot \dfrac{1125}{60} \cdot 3=112,5 \pi \\
\omega_2=2 \pi \cdot \dfrac{1300}{60} \cdot 3=130 \pi
\end{array}(\mathrm{rad} / \mathrm{s})\right. \\
& U_C=\dfrac{E \cdot Z_C}{\sqrt{R^2+\left(Z_L-Z_C\right)^2}}=\dfrac{\dfrac{\sqrt{2}}{\pi} \omega \cdot \dfrac{1}{\omega C}}{\sqrt{R^2+\left(\omega L-\dfrac{1}{\omega C}\right)^2}}=\dfrac{\dfrac{\sqrt{2}}{\pi C}}{\sqrt{R^2+\left(\omega L-\dfrac{1}{\omega C}\right)^2}} U_{C \max \rightarrow 1} \dfrac{1}{\omega_1 C} \\
& \Rightarrow 112,5 \pi \cdot 0,8=\dfrac{1}{112,5 \pi \cdot C} \Rightarrow C \approx 10^{-5} \mathrm{~F} \\
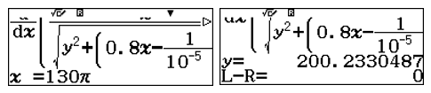
& U_R=\dfrac{E \cdot R}{\sqrt{R^2+\left(Z_L-Z_C\right)^2}}=\dfrac{\dfrac{\sqrt{2}}{\pi} \cdot \omega \cdot R}{\sqrt{R^2+\left(0,8 \omega-\dfrac{1}{10^{-5} \omega}\right)^2}} \rightarrow \text { shift solve đạo hàm với } \omega=130 \pi \\
& \text { Nhập } \dfrac{d}{d x}\left(\dfrac{x}{\sqrt{y^2+\left(0,8 x-\dfrac{1}{10^{-5} x}\right)^2}}\right) \mid x=x \\
&
\end{aligned}
$
$
\Rightarrow R \approx 200,233 \Omega
$
$
P_1=\dfrac{E_1^2 R}{R^2+\left(Z_{L 1}-Z_{C_1}\right)^2}=\dfrac{\left(\dfrac{\sqrt{2}}{\pi} \omega_1\right)^2 R}{R^2+\left(L \omega_1-\dfrac{1}{C \omega_1}\right)^2}=\dfrac{\left(\dfrac{\sqrt{2}}{\pi} \cdot 112,5 \pi\right)^2 \cdot 200,233}{200,233^2+\left(0,8 \cdot 112,5 \pi-\dfrac{1}{10^{-5} \cdot 112,5 \pi}\right)^2} \approx 126,4 W
$
\begin{aligned}
& E=\dfrac{E_0}{\sqrt{2}}=\dfrac{1}{\sqrt{2}} N \phi_0 \omega=\dfrac{1}{\sqrt{2}} \cdot 6000 \cdot \dfrac{1}{3 \pi} \cdot 10^{-3} \cdot \omega=\dfrac{\sqrt{2}}{\pi} \omega \\
& \omega=2 \pi f=2 \pi n p \Rightarrow\left\{\begin{array}{l}
\omega_1=2 \pi \cdot \dfrac{1125}{60} \cdot 3=112,5 \pi \\
\omega_2=2 \pi \cdot \dfrac{1300}{60} \cdot 3=130 \pi
\end{array}(\mathrm{rad} / \mathrm{s})\right. \\
& U_C=\dfrac{E \cdot Z_C}{\sqrt{R^2+\left(Z_L-Z_C\right)^2}}=\dfrac{\dfrac{\sqrt{2}}{\pi} \omega \cdot \dfrac{1}{\omega C}}{\sqrt{R^2+\left(\omega L-\dfrac{1}{\omega C}\right)^2}}=\dfrac{\dfrac{\sqrt{2}}{\pi C}}{\sqrt{R^2+\left(\omega L-\dfrac{1}{\omega C}\right)^2}} U_{C \max \rightarrow 1} \dfrac{1}{\omega_1 C} \\
& \Rightarrow 112,5 \pi \cdot 0,8=\dfrac{1}{112,5 \pi \cdot C} \Rightarrow C \approx 10^{-5} \mathrm{~F} \\
& U_R=\dfrac{E \cdot R}{\sqrt{R^2+\left(Z_L-Z_C\right)^2}}=\dfrac{\dfrac{\sqrt{2}}{\pi} \cdot \omega \cdot R}{\sqrt{R^2+\left(0,8 \omega-\dfrac{1}{10^{-5} \omega}\right)^2}} \rightarrow \text { shift solve đạo hàm với } \omega=130 \pi \\
& \text { Nhập } \dfrac{d}{d x}\left(\dfrac{x}{\sqrt{y^2+\left(0,8 x-\dfrac{1}{10^{-5} x}\right)^2}}\right) \mid x=x \\
&
\end{aligned}
$
\Rightarrow R \approx 200,233 \Omega
$
$
P_1=\dfrac{E_1^2 R}{R^2+\left(Z_{L 1}-Z_{C_1}\right)^2}=\dfrac{\left(\dfrac{\sqrt{2}}{\pi} \omega_1\right)^2 R}{R^2+\left(L \omega_1-\dfrac{1}{C \omega_1}\right)^2}=\dfrac{\left(\dfrac{\sqrt{2}}{\pi} \cdot 112,5 \pi\right)^2 \cdot 200,233}{200,233^2+\left(0,8 \cdot 112,5 \pi-\dfrac{1}{10^{-5} \cdot 112,5 \pi}\right)^2} \approx 126,4 W
$
Đáp án A.
