The Collectors

Một lưới thức ăn gồm 9 loài được mô tả như hình bên Theo lí...

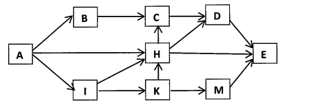
Câu hỏi: Một lưới thức ăn gồm 9 loài được mô tả như hình bên
image1.png
Theo lí thuyết, có bao nhiêu phát biểu sau đây đúng?
I. Có 15 chuỗi thức ăn.
II. Chuỗi thức ăn dài nhất có 6 mắt xích.
III. Nếu loài K bị tuyệt diệt thì lưới thức ăn này có tối đa 7 loài.
IV. Nếu loài E bị con người đánh bắt làm giảm số lượng thì loài M sẽ tăng số lượng.
A. 4
B. 3
C. 1
D. 2
Có 2 phát biểu đúng, đó là III và IV.
- II sai vì chuỗi thức ăn dài nhất có 7 mắt xích, đó là $A\to I\to K\to H\to C\to D\to E.$
- III đúng vì nếu K bị tuyệt diệt thì M sẽ bị tuyệt diệt (vì K là nguồn thức ăn duy nhất của M). Do đó, chỉ còn lại 7 loài.
- IV đúng vì E khống chế sinh học đối với D và M nên khi E bị giảm số lượng thì D và M sẽ tăng số lượng.
Đáp án D.
 

Quảng cáo

Back
Top