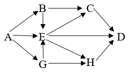
Câu hỏi: Giả sử một quần xã có lưới thức ăn gồm 7 loài được kí hiệu là: A, B, C, D, E, G, H. Trong đó loài A là sinh vật sản xuất, các loài còn lại là sinh vật tiêu thụ. Theo lí thuyết, có bao nhiêu phát biểu sau đây đúng khi nói về lưới thức ăn này?

I. Loài E tham gia vào nhiều chuỗi thức ăn nhất.
II. Có tổng số 11 chuỗi thức ăn.
III. Loài D có mức năng lượng cao nhất.
IV. Nếu loài A bị nhiễm độc ở nồng độ thấp thì loài D sẽ bị nhiễm độc ở nồng độ cao hơn so với loài
A. 1.
B. 2.
C. 4.
D. 3.
II. Đúng vì qua E có 3 x 3 = 9 chuỗi; không qua E 2 chuỗi tổng 11 chuỗi.
III. Sai vì loài D là bậc dinh dưỡng cao nhất năng lượng thấp nhất.
IV. Đúng do hiện tượng khuếch đại sinh học.

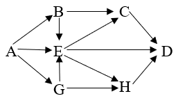
I. Loài E tham gia vào nhiều chuỗi thức ăn nhất.
II. Có tổng số 11 chuỗi thức ăn.
III. Loài D có mức năng lượng cao nhất.
IV. Nếu loài A bị nhiễm độc ở nồng độ thấp thì loài D sẽ bị nhiễm độc ở nồng độ cao hơn so với loài
A. 1.
B. 2.
C. 4.
D. 3.
I. Sai vì A và D tham gia 11 chuỗi thức ăn.II. Đúng vì qua E có 3 x 3 = 9 chuỗi; không qua E 2 chuỗi tổng 11 chuỗi.
III. Sai vì loài D là bậc dinh dưỡng cao nhất năng lượng thấp nhất.
IV. Đúng do hiện tượng khuếch đại sinh học.
Đáp án C.