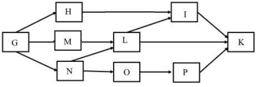
Câu hỏi: Giả sử lưới thức ăn trong một hệ sinh thái gồm các loài sinh vật G, H, I, K, L, M, N, O, P, được mô tả bằng sơ đồ ở hình bên. Cho biết loại G là sinh vật sản xuất và các loài còn lại đều là sinh vật
tiêu thụ.
Theo lí thuyết, có bao nhiêu phát biểu sau đây là đúng về lưới thức ăn này?
(1). Quan hệ giữa loài N và loài L là quan hệ cạnh tranh khác loài.
(2). Loài L tham gia vào 3 chuỗi thức ăn khác nhau.
(3). Loài N, M, H thuộc bậc dinh dưỡng cấp 2.
(4). Tổng năng lượng tích lũy của loài N luôn lớn hơn tổng năng lượng tích lũy của loài O và loài P.
A. 1
B. 2
C. 3
D. 4
tiêu thụ.
Theo lí thuyết, có bao nhiêu phát biểu sau đây là đúng về lưới thức ăn này?
(1). Quan hệ giữa loài N và loài L là quan hệ cạnh tranh khác loài.
(2). Loài L tham gia vào 3 chuỗi thức ăn khác nhau.
(3). Loài N, M, H thuộc bậc dinh dưỡng cấp 2.
(4). Tổng năng lượng tích lũy của loài N luôn lớn hơn tổng năng lượng tích lũy của loài O và loài P.
A. 1
B. 2
C. 3
D. 4
(1) sai, quan hệ giữa loài N và loài L là quan hệ sinh vật ăn sinh vật.
(2) sai, loài L tham gia vào 4 chuỗi thức ăn (2 mũi tên đi vào $\times $ 2 mũi tên đi ra).
(3) đúng.
(4) sai, chưa thể kết luận.
(2) sai, loài L tham gia vào 4 chuỗi thức ăn (2 mũi tên đi vào $\times $ 2 mũi tên đi ra).
(3) đúng.
(4) sai, chưa thể kết luận.
Đáp án A.
