The Collectors

Ở người, xét 3 gen nằm trên 3 cặp nhiễm sắc thể thường, các alen...

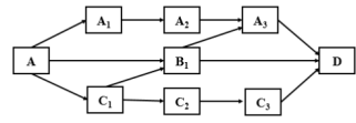
Câu hỏi: Ở người, xét 3 gen nằm trên 3 cặp nhiễm sắc thể thường, các alen A, B, D (trội hoàn toàn) quy định các enzim khác nhau cùng tham gia vào quá trình chuyển hóa các chất trong cơ thể, các alen đột biến lặn tương ứng a, b, d không tạo các enzim. Sơ đồ chuyển hoá như sau:
image5.png
Khi các cơ chất (A,B,D) không được chuyển hoá sẽ bị tích luỹ trong tế bào và gây bệnh. Các gen biểu hiện ra 4 loại kiểu hình khác nhau. Số loại kiểu gen tương ứng với mỗi loại kiểu hình được thể hiện trong bảng dưới đây. Có bao nhiêu phát biểu sau đây đúng?

STT​
Kiểu hình​
Số kiểu gen tương ứng​
1​
Khoẻ mạnh​
8​
2​
Bệnh 1​
4​
3​
Bệnh 2​
6​
4​
Bệnh 3​
9​
I. Bệnh 1 do tế bào tích luỹ nhiều chất A.
II. Một người bị bệnh 1 kết hôn với một người bị bệnh 3 có thể sinh ra con không mắc bệnh.
III. Một cặp vợ chồng đều bị bệnh 3 có thể sinh con bị bệnh 1.
IV. Một cặp vợ chồng đều khoẻ mạnh, đều có kiểu gen mang đủ các loại alen. Khả năng sinh con đầu lòng mắc bệnh 2 là 18,75%.
A. 3.
B. 2.
C. 1.
D. 4.
Bệnh 1 có 4 KG: A-B-dd Bệnh 1 là do tích D nhiều
Bệnh 2 có 6 KG: A- bb (DD, Dd, dd) Do tích B nhiều
Bệnh 3 có 9 KG aa ( BB, bb, Bb) ( DD, Dd, dd) Tích A nhiều.
AAB-dd x aaBBDD có thể sinh con không bệnh ( II đúng)
AaBbDd x AaBbDd sinh có bệnh 2 = 0,75 x 0,25= 18,75%. ( IV đúng)
Đáp án B.
 

Quảng cáo

Back
Top