Câu hỏi: Tìm đạo hàm của mỗi hàm số sau (a và b là hằng số
Phương pháp giải:
Sử dụng công thức
+) \(\left( {{x^n}} \right)' = n{x^{n - 1}}\)
+) \(\left( {\sqrt x } \right)' = \dfrac{1}{{2\sqrt x }}\)
và các công thức đạo hàm của tổng, hiệu, tích một hàm số với một số thực.
Lời giải chi tiết:

Lời giải chi tiết:

Lời giải chi tiết:

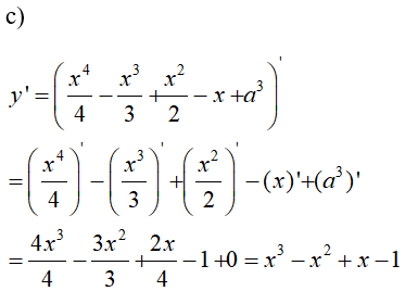
\(y' = {x^3} - {x^2} + x - 1\)
Lời giải chi tiết:

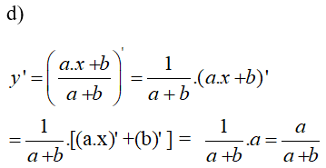
\(y = {a \over {a + b}}\)
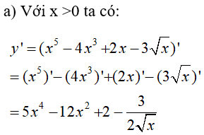
Câu a
\(y = {x^5} - 4{x^3} + 2x - 3\sqrt x \)Phương pháp giải:
Sử dụng công thức
+) \(\left( {{x^n}} \right)' = n{x^{n - 1}}\)
+) \(\left( {\sqrt x } \right)' = \dfrac{1}{{2\sqrt x }}\)
và các công thức đạo hàm của tổng, hiệu, tích một hàm số với một số thực.
Lời giải chi tiết:

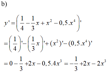
Câu b
\(y = {1 \over 4} - {1 \over 3}x + {x^2} - 0,5{x^4}\)Lời giải chi tiết:

Câu c
\(y = {{{x^4}} \over 4} - {{{x^3}} \over 3} + {{{x^2}} \over 2} - x + {a^3}\)Lời giải chi tiết:

\(y' = {x^3} - {x^2} + x - 1\)
Câu d
\(y = {{ax + b} \over {a + b}}\)Lời giải chi tiết:

\(y = {a \over {a + b}}\)
Rất tiếc, câu hỏi này chưa có lời giải chi tiết. Bạn ơi, đăng nhập và giải chi tiết giúp zix.vn nhé!!!