Câu hỏi: Làm phép chia
Phương pháp giải:
Thực hiện phép tính chia như phép chia các số tự nhiên.
Lời giải chi tiết:

Phương pháp giải:
Thực hiện phép tính chia như phép chia các số tự nhiên.
Lời giải chi tiết:

Phương pháp giải:
Thực hiện phép tính chia như phép chia các số tự nhiên.
Lời giải chi tiết:

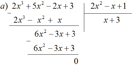
Câu a
\(\) \(\left( {2{x^3} + 5{x^2} - 2x + 3} \right):\left( {2{x^2} - x + 1} \right)\)Phương pháp giải:
Thực hiện phép tính chia như phép chia các số tự nhiên.
Lời giải chi tiết:

Câu b
\(\) \(\left( {2{x^3} - 5{x^2} + 6x - 15} \right):\left( {2x - 5} \right)\)Phương pháp giải:
Thực hiện phép tính chia như phép chia các số tự nhiên.
Lời giải chi tiết:

Câu c
\(\) \(\left( {{x^4} - x - 14} \right):\left( {x - 2} \right)\)Phương pháp giải:
Thực hiện phép tính chia như phép chia các số tự nhiên.
Lời giải chi tiết:

Rất tiếc, câu hỏi này chưa có lời giải chi tiết. Bạn ơi, đăng nhập và giải chi tiết giúp zix.vn nhé!!!