The Collectors

Bài 4 trang 68 SGK Giải tích 12

Câu hỏi: So sánh các cặp số sau:

Câu a

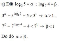
a) ${\log_3}5$ và ${\log_7}4$ ;
Phương pháp giải:
Sử dụng so sánh bắc cầu, so sánh với $1$
Lời giải chi tiết:
4a.jpg
Cách khác:
Ta có: ${\log _3}5 > {\log _3}3 = 1;$ ${\log _7}4 < {\log _7}7 = 1$.
Do đó ${\log _3}5 > 1 > {\log _7}4$ hay  ${\log _3}5 > {\log _7}4$.

Câu b

b) $\log_{0,3}2$ và ${\log_5}3$ ;
Phương pháp giải:
Sử dụng so sánh bắc cầu, so sánh với $0$
Lời giải chi tiết:
4b.jpg
Cách khác:
Ta có: ${\log _{0,3}}2 < {\log _{0,3}}1 = 0$ (vì $0 < 0,3 < 1$ ).
Lại có ${\log _5}3 > {\log _5}1 = 0$ (vì $5 > 1$ ).
Do đó ${\log _{0,3}}2 < 0 < {\log _5}3$ hay ${\log _{0,3}}2 < {\log _5}3$.

Câu c

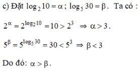
c) ${\log _2}10$ và ${\log_5}30$.
Phương pháp giải:
Sử dụng so sánh bắc cầu, so sánh với $3$
Lời giải chi tiết:
4c.jpg
Cách khác:
Ta có: ${\log _2}10 > {\log _2}8 = {\log _2}\left( {{2^3}} \right) = 3$
Lại có ${\log _5}30 < {\log _5}125 = {\log _5}\left( {{5^3}} \right) = 3$.
Do đó ${\log _2}10 > 3 > {\log _3}50$ hay ${\log _2}10 > {\log _3}50$.
Rất tiếc, câu hỏi này chưa có lời giải chi tiết. Bạn ơi, đăng nhập và giải chi tiết giúp zix.vn nhé!!!
 

Quảng cáo

Back
Top