The Collectors

Bài 36.1,36.2,36.3,36.4 trang 55 SBT hóa học 11

Câu hỏi:

Câu 36.1.

Có bốn tên gọi : o-xilen, o-đimetylbenzen, 1,2-đimetylbenzen, etylbenzen. Đó là tên của
A. 1 chất.                 B. 2 chất.
C. 3 chất.                 D. 4 chất.
Phương pháp giải:
Từ tên gọi, viết CTCT tương ứng với  từng chất \(\to\) Kết luận
Lời giải chi tiết:
361g.png
\(\to\) Chọn B.

Câu 36.2.

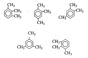
Có 5 công thức cấu tạo:
362d.png
Đó là công thức của mấy chất ?
A. 1 chất.                 B. 2 chất.
C. 3 chất.                 D. 4 chất.
Phương pháp giải:
Quan sát linh hoạt các vị trí của nhóm metyl trên vòng benzen
Lời giải chi tiết:
Nếu đánh số theo thứ tự từ trên xuống dưới và từ trái qua phải. Ta có:
Công thức 1 giống công thức 5
Công thức 2 giống công thức 3
Vậy 5 công thức trên thực tế là 3 chất.
\(\to\) Chọn C.

Câu 36.3.

Nhận xét nào dưới đây không đúng?
A. Benzen và toluen đều không có phản ứng với dung dịch nước brom.
B. Benzen và toluen đều có phản ứng thế với brom khi có xúc tác Fe.
C. Benzen và toluen đều có thể tham gia phản ứng cộng.
D. Toluen tham gia phản ứng thế nguyên tử H của vòng benzen khó hơn benzen.
Phương pháp giải:
Xem lại lí thuyết về Benzen và đồng đẳng .
Lời giải chi tiết:
Toluen tham gia phản ứng thế nguyên tử H của vòng benzen dễ hơn benzen
\(\to\) Chọn D.

Câu 36.4.

Nếu cho toluen tác dụng với brom trong điều kiện chiếu sáng và đun nóng nhẹ, sản phẩm chính là
364d.png
Phương pháp giải:
Xem lại lí thuyết về Benzen và đồng đẳng .
Lời giải chi tiết:
Nếu đun toluen hoặc các ankylbenzen với brom, sẽ xảy ra phản ứng thế nguyên tử H của mạch nhánh tương tự ankan
\(\to\) Chọn D.
Rất tiếc, câu hỏi này chưa có lời giải chi tiết. Bạn ơi, đăng nhập và giải chi tiết giúp zix.vn nhé!!!
 

Quảng cáo

Back
Top