Câu hỏi: 
Số phân tử HCl đóng vai trò chất khử bằng k lần tổng số phân tử HCl tham gia phản ứng. Giá trị của k là
\(\begin{array}{l}
A. \dfrac{3}{{14}} B. \dfrac{4}{7}\\
C. \dfrac{1}{7} D. \dfrac{3}{7}
\end{array}\)
Phương pháp giải:
Viết quá trình khử, oxi hóa và cân bằng PTHH theo phương pháp thăng bằng electron.
Lời giải chi tiết:

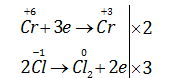
\({K_2}C{r_2}{O_7} + 14HCl\xrightarrow{{{t^o}}}2CrC{l_3} + 3C{l_2} + 2KCl + {H_2}O\)
\(\Rightarrow k = \dfrac{6}{{14}} = \dfrac{3}{7}\)
=> Chọn D
Hệ số tối giản của \(HNO_3\) và \(H_2SO_4\) trong phản ứng trên lần lượt là
A. 12; 4. B. 16; 4.
C. 10; 6. D. 8 ; 2.
Phương pháp giải:
Viết quá trình khử, oxi hóa và cân bằng PTHH theo phương pháp thăng bằng electron.
Lời giải chi tiết:

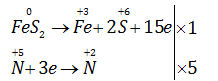
\(Fe{S_2} + 8HN{O_3} \to Fe{\left( {N{O_3}} \right)_3} + 2{H_2}S{O_4} + 5NO \uparrow + 2{H_2}O\)
=> Chọn D
A. Nhận 13e. B. Nhận 12e.
C. Nhường 13e. D. Nhường 12e.
Phương pháp giải:
Viết quá trình oxi hóa của \(CuFeS_2\)
Lời giải chi tiết:
\(\mathop {CuFe{S_2}}\limits^0 \to \mathop {Cu}\limits^{ + 2} + \mathop {Fe}\limits^{ + 3} + 2\mathop S\limits^{ + 4} + 13e\)
=> 1 phân tử \(CuFeS_2\) nhường 13e
=> Chọn C
Câu 19.7.
Trong phản ứng :Số phân tử HCl đóng vai trò chất khử bằng k lần tổng số phân tử HCl tham gia phản ứng. Giá trị của k là
\(\begin{array}{l}
A. \dfrac{3}{{14}} B. \dfrac{4}{7}\\
C. \dfrac{1}{7} D. \dfrac{3}{7}
\end{array}\)
Phương pháp giải:
Viết quá trình khử, oxi hóa và cân bằng PTHH theo phương pháp thăng bằng electron.
Lời giải chi tiết:

\({K_2}C{r_2}{O_7} + 14HCl\xrightarrow{{{t^o}}}2CrC{l_3} + 3C{l_2} + 2KCl + {H_2}O\)
\(\Rightarrow k = \dfrac{6}{{14}} = \dfrac{3}{7}\)
=> Chọn D
Câu 19.8.
Cho phán ứng : \(Fe{S_2} + HN{O_3} \to Fe{\left( {N{O_3}} \right)_3} + {H_2}S{O_4} + NO \uparrow + {H_2}O\)Hệ số tối giản của \(HNO_3\) và \(H_2SO_4\) trong phản ứng trên lần lượt là
A. 12; 4. B. 16; 4.
C. 10; 6. D. 8 ; 2.
Phương pháp giải:
Viết quá trình khử, oxi hóa và cân bằng PTHH theo phương pháp thăng bằng electron.
Lời giải chi tiết:

\(Fe{S_2} + 8HN{O_3} \to Fe{\left( {N{O_3}} \right)_3} + 2{H_2}S{O_4} + 5NO \uparrow + 2{H_2}O\)
=> Chọn D
Câu 19.9.
Trong phản ứng đốt cháy \(CuFeS_2\) tạo ra sản phẩm \(CuO, Fe_2O_3\) và \(SO_2\) thì một phân tử \(CuFeS_2\) sẽA. Nhận 13e. B. Nhận 12e.
C. Nhường 13e. D. Nhường 12e.
Phương pháp giải:
Viết quá trình oxi hóa của \(CuFeS_2\)
Lời giải chi tiết:
\(\mathop {CuFe{S_2}}\limits^0 \to \mathop {Cu}\limits^{ + 2} + \mathop {Fe}\limits^{ + 3} + 2\mathop S\limits^{ + 4} + 13e\)
=> 1 phân tử \(CuFeS_2\) nhường 13e
=> Chọn C
Rất tiếc, câu hỏi này chưa có lời giải chi tiết. Bạn ơi, đăng nhập và giải chi tiết giúp zix.vn nhé!!!